perlindungan insurans kesihatan ke luar negara
Namun Faedah Pengurusan Mayat bagi pekerja asing yang meninggal dunia di Malaysia dan dibawa pulang ke negara asal untuk dikebumikan layak menerima sebanyak RM6500. Pemeriksaan Kenderaan Keluar Masuk Kampus.
Akta Perlindungan Hidupan Liar 1972.
. Demam denggi penyakit berjangkit nombor satu dalam negara telah mencegah bilangan kes tertinggi dengan 119190 kes dan 162 kematian pada 2019. Cth kempen tahun melawat Malaysia. MS ISO 90012015.
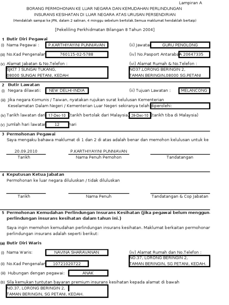
Memberi jaminan terhadap keadaan tidak boleh bekerja akibat kemalangan yang membawa kecacatan dan jaminan hari tua. Permohonan Ke Luar Negara dan Kemudahan perlindungan Insurans Kesihatan di Luar Negara. Pelaksanaan program bebas aedes di kemudahan kesihatan pbakkhus format derma hadiah individu kepada hospital umum sarawak borang permohonan ke luar negara bagi tujuan rasmi dan persendirian lampiran 1 borang permohonan ke luar negara bagi tujuan rasmi dan persendirian lampiran 2 standardised form reprint burn cd edit office hrs.
Pusat Kawalan Kusta Negara Pusat Penyelidikan Klinikal Pusat Perubatan Nuklear Dan Radioterapi Pusat Pergigian Kanak-Kanak Kolej Latihan Pergigian Malaysia Pusat Kesiapsiagaan dan Tindak Cepat Krisis. Kru bot nelayan dipercayai terjatuh ke dalam laut Selasa lalu ditemukan maut. Pertambahan penduduk menyebabkan berlaku penghijrahan penduduk ke luar negara seperti India.
Akta Lembaga Promosi Kesihatan Malaysia Pembubaran 2019 825 Akta Antiberita Tidak Benar Pemansuhan 2020 826 Akta Perlindungan Penderma Makanan 2020 827 Akta Mata Wang 2020 Belum berkuat kuasa 828 Kanun Tanah Negara Disemak 2020 829 Akta Langkah-Langkah Sementara bagi Mengurangkan Kesan Penyakit Koronavirus 2019 COVID-19 2020. 79 Akta Buang Negeri 1959. Manual Kualiti Tarikh Kuatkuasa.
Ke negara-negara Asia dan Eropah. Namun pencapaian ini tidak bermakna jika masih ada yang terpinggir daripada arus pembangunan. Pembinaan struktur bagi iklan dsb.
Berita Tempatan Warga asing beri maklumat palsu dipenjara 6 bulan. Sistem transaksi tanpa tunai JPJ wajar diteruskan. MPU3313 Kesihatan dan Kesejahteraan.
3111 Pegawai Kenderaan ialah pegawai yang dilantik atau ditugaskan oleh Ketua Jabatan untuk menguruskan Kenderaan Kerajaan di KementerianJabatan. Dos penggalak heterologous tawar lebih perlindungan. Kita mahu hidup bahagia bersama-sama sebagai satu keluarga tanpa mengira tahap pendapatan agama bangsa dan kaum.
CUTI REHAT KE LUAR NEGARA PREMIUM INSURANS Selaras dengan harsat mengutamakan kebajikan Pegawai Perkhidmatan Awam Kerajaan telah melaksanakan kemudahan perlindungan insurans kesihatan kepada Pegawai Perkhidmatan Awam yang berada di luar negara atas urusan persendirian dengan premium insurans tersebut ditanggung oleh. Thursday 10 Feb 2022 233447 Hits28. Kebenaran Masuk Kampus Bagi Pekerja Luar Pas Pelawat.
Slide Taklimat MyCPD Versi 2. Menggalakkan penggunaan pengangkutan tempatan Memberi kemudahan menarik untuk menggalakkan pengeksport dan pengimport menggunakan pengangkutan tempatan spt mengunakan kapal terbang MAS dan kapal kargo MISC. Laporan Tugas Anggota Keselamatan Kesalahan Lalulintas.
Thursday 10 Feb 2022. Garis panduan prosedur operasi standard SOP baharu ibadah umrah yang dikemas kini oleh Kementerian Pelancongan Seni dan Budaya MOTAC telah siap sepenuhnya. Thursday 10 Feb 2022 233447 Hits36.
Pada tahun 1884 parlimen reichstag meluluskan undang-undang insurans kemalangan. Pembinaan akses dan parit dan penyusunan pemasangan utiliti awam ke jalan yang ada 85 A. Selain itu menurut Kementerian Kesihatan terdapat antara 20000 ke 25000 kes Tuberkulosis TB baharu yang direkodkan setiap tahun di Malaysia dengan purata kematian sebanyak enam kes setiap hari.
Thursday 10 Feb 2022. 80 Akta Perpustakaan Negara 1972. 77 Akta Angkatan Tentera 1972.
Kerajaan melalui usahasama dengan syarikat insurans swasta akan memperkenalkan Dana Perlindungan Kesihatan Nasional B40. Menurut beliau cadangan insurans perlindungan kesihatan itu harus disambut baik oleh semua demi kesejahteraan dan keselamatan bakal jemaah sebelum bertolak dan semasa berada Tanah Suci. Beliau turut mencadangkan pelancong luar yang mahu ke Sabah mengambil pelan perlindungan insurans yang meliputi kos perubatan dan kemasukan ke hospital akibat kemalangan atau penyakit termasuk.
84 Akta Lembaga Pasaran dan Pelesen Getah Malaysia 1972. Sistem transaksi tanpa tunai JPJ wajar diteruskan. Pembinaan stesen ECRL Kuala Terengganu ikut jadual walaupun berhadapan pandemik.
Melahirkan warga sekolah dan persekitaran yang selamat sihat dan berkualiti ke arah pencapaian wawasan negara. Dos penggalak heterologous tawar lebih perlindungan. 43 Membina satu persekitaran.
Kebenaran Membawa Keluar Aset Alih-Harta Benda UKM. Sistem Skim Perlindungan Insurans Kesihatan Pekerja Asing SPIKPA Sistem ePatuh. Pekerja asing yang meninggal dunia dan dikebumikan di Malaysia waris yang layak akan menerima sebanyak RM 2000 atau sekiranya bukan waris mengikut resit pengebumian yang mana.
PUTRAJAYA 10 Feb Skim insurans dan takaful yang memberi perlindungan kepada. Institut Kanser Negara Insititut Penyelidikan Tingkahlaku Kesihatan Institut Kesihatan Umum Institut Pengurusan Kesihatan. Jafry juga menasihatkan pelancong luar yang mahu masuk ke Sabah untuk mengambil pelan perlindungan insurans untuk pelancong yang meliputi kos perubatan dan kemasukan ke hospital akibat kemalangan dan penyakit termasuk jangkitan Covid-19.
Kru bot nelayan dipercayai terjatuh ke dalam laut Selasa lalu ditemukan maut. 3110 Kereta Saloon ialah kereta penumpang termasuk station wagon. Memang akan ada kenaikan kos anggaran RM200 hingga 300 untuk setiap jemaah sekiranya insurans perlindungan kesihatan diwajibkan.
Pembinaan stesen ECRL Kuala Terengganu ikut jadual walaupun berhadapan pandemik. Friday 11 Feb 2022 004247 Hits23. Skim yang akan bermula pada 1 Januari 2019 ini akan menyediakan perlindungan percuma ke atas 4 penyakit kritikal utama sehingga RM8000 dan maksimum 14 hari pendapatan gantian semasa rawatan hospital pada.
Menterinya Datuk Seri Nancy Shukri berkata antara yang diperhalusi di dalam SOP baharu itu melibatkan masalah kuarantin dan insurans perlindungan jemaah umrah. 83 Akta Pelantar Benua 1966. Berita Tempatan Kedaulatan Negara Kad Khas Untuk Warga Asing Lama Menetap Di Sabah.
82 Akta Keselamatan Dalam Negeri 1960. Senarai Premis Outlet Makanan Yang Telah Mendapat Pengiktirafan BeSS. Sekatan bagi kenderaan di atas jambatan 87.
Dipertua Dewan NegaraDewan Rakyat Hakim dan Pegawai Perkhidmatan Awam Gred UtamaKhas C dan ke atas atau yang setaraf. 78 Akta Pendaftaran Negara 1959. Bilangan hari Pemegang polisi Pemegang polisi Keluarga RM RM dan pasangan RM Asia Eropah Asia Eropah Asia Eropah 15 39 53 69 98 87 133 6 10 58 79 107 150 136 184 11 18 79 127 152 246 218 304 Premium tahunan 230 280 berumur 18 69 tahun.
Menggalakkan pengeksport dan pengimport mengambil perlindungan. Perjalanan yang ditawarkan oleh Syarikat Insurans PQ Bhd. Peruntukan mengenai lalu lintas luar biasa 88.
Objektif Program Bersepadu Sekolah Sihat agar dapat41 Menetapkan polisi atau dasar kesihatan sekolah. Kuasa mengalihkan struktur daripada jalan 85. Berita Tempatan Politik PCS akan tanding PRU15 sebagai sebahagian gabungan.
Friday 11 Feb 2022 004247 Hits14. Kita mahu memacu Keluarga Malaysia ke arah negara maju dan berpendapatan tinggi serta kalis cabaran pada masa hadapan. Kuasa mendirikan perlindungan jalan bawah tanah dan titian 84.
81 Akta Pemegang Pajak Gadai 1972. 42 Memelihara dan meningkatkan persekitaran sekolah yang bersih ceria selamat dan sihat.
Kemudahan Perlindungan Insurans Kesihatan Kepada Pegawai Perkhidmatan Awam Yang Berada Di Luar Negara Atas Urusan Persendirian Portal Rasmi Mahkamah Kuala Lumpur
Insurans Ke Luar Negara Bagi Penjawat Awam Duduk Bersila
Borang Insuran Luar Negara 2020 Pdf
Borang Permohonan Perlindungan Insurans Kesihatan Ke Luar Negara Negara Ketiga
Apakah Perlindungan Kesihatan Untuk Pelajar Luar Negara Oshc
Borang An Ke Luar Negara Blank Pdf
Permohonan Ke Luar Negara Online Kpm Fill Online Printable Fillable Blank Pdffiller
Borang Permohonan Perlindungan Insurans Kesihatan Ke Luar Negara Negara Ketiga
Pdf Borang Permohonan Insuran Ke Luar Negara Persendirian Lampiran A Dan B Smk Permasjaya Academia Edu
Kemudahan Perlindungan Insurans Kesihatan Kepada Pegawai Perkhidmatan Awam Yang Berada Di Luar Negara Atas Urusan Persendirian Portal Rasmi Mahkamah Kuala Lumpur
Kemudahan Perlindungan Insurans Kesihatan Kepada Pegawai Perkhidmatan Awam Yang Berada Di Luar Negara Atas Urusan Persendirian
Borang Permohonan Perlindungan Insurans Kesihatan Ke Luar Negara Negara Ketiga
